Erlang logo
User's Guide
Reference Manual
Release Notes
PDF
Top

orber
User's Guide
Version 3.8.1


Expand All
Contract All

Chapters

7 CosNaming Service

7.1  Overview of the CosNaming Service

The CosNaming Service is a service developed to help users and programmers identify objects by human readable names rather than by a reference. By binding a name to a naming context (another object), a contextual reference is formed. This is helpful when navigating in the object space. In addition, identifying objects by name allows you to evolve and/or relocate objects without client code modification.

The CosNaming service has some concepts that are important:

  • name binding - a name to object association.

  • naming context - is an object that contains a set of name bindings in which each name is unique. Different names can be bound to the same object.

  • to bind a name - is to create a name binding in a given context.

  • to resolve a name - is to determine the object associated with the name in a given context.

A name is always resolved in a context, there no absolute names exist. Because a context is like any other object, it can also be bound to a name in a naming context. This will result in a naming graph (a directed graph with notes and labeled edges). The graph allows more complex names to refer to an object. Given a context, you can use a sequence to reference an object. This sequence is henceforth referred to as name and the individual elements in the sequence as name components. All but the last name component are bound to naming contexts.

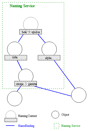
The diagram in figure 1 illustrates how the Naming Service provides a contextual relationship between objects, NamingContexts and NameBindings to create an object locality, as the object itself, has no name.

IMAGE MISSING
Figure 7.1:   Figure 1: Contextual object relationships using the Naming Service.

The naming contexts provide a directory of contextual reference and naming for objects (an object can appear to have more than one name).

In figure 1 the object to the right can either be called alpha from one context or gamma from another.

The Naming Service has an initial naming context, which is shown in the diagram as the top-most object in the naming graph. It has two names beta and epsilon, which are bound to other naming contexts. The initial naming context is a well known location used to share a common name space between multiple programs. You can traverse the naming graph until you reach a name, which is bound to an object, which is not a naming context.

We recommend reading chapter 12, CORBA Fundamentals and Programming, for detailed information regarding the Naming Service.

7.2  The Basic Use-cases of the Naming Service

The basic use-cases of the Naming Service are:

  • Fetch initial reference to the naming service.
  • Creating a naming context.
  • Binding and unbinding names to objects.
  • Resolving a name to an object.
  • Listing the bindings of a naming context.
  • Destroying a naming context.

Fetch Initial Reference to the Naming Service

In order to use the naming service you have to fetch an initial reference to it. This is done with:

NS = corba:resolve_initial_references("NameService").
      
Note

NS in the other use-cases refers to this initial reference.

Creating a Naming Context

There are two functions for creating a naming context. The first function, which only creates a naming context object is:

NC = 'CosNaming_NamingContext':new_context(NS).
      

The other function creates a naming context and binds it to a name in an already existing naming context (the initial context in this example):

NC = 'CosNaming_NamingContext':bind_new_context(NS, lname:new(["new"])).
      

Binding and Unbinding Names to Objects

The following steps illustrate how to bind/unbind an object reference to/from a name. For the example below, assume that the NamingContexts in the path are already bound to the name /workgroup/services, and that reference to the services context are in the variable Sc.

  • Use the naming library functions to create a name

    Name = lname:new(["object"]).
              
  • Use CosNaming::NamingContext::bind() to bind a name to an object

    'CosNaming_NamingContext':bind(Sc, Name, Object).
              
  • Use CosNaming::NamingContext::unbind() to remove the NameBinding from an object

    'CosNaming_NamingContext':unbind(Sc, Name).
              
Note

Objects can have more than one name, to indicate different paths to the same object.

Resolving a Name to an Object

The following steps show how to retrieve the object reference to the service context above (/workgroup/services).

  • Use the naming library functions to create a name path:

    Name = lname:new(["workgroup", "services"]).
              
  • Use CosNaming::NamingContext::resolve() to to resolve the name to an object

    Sc = 'CosNaming_NamingContext':resolve(NS, Name).
              

An alternative is to use:

Sc = corba:string_to_object("corbaname:rir:/NameService#workgroup/services/").
      

The corbaname schema is described further in the Interoperable Naming Service section.

Listing the Bindings in a NamingContext

  • Use CosNaming::NamingContext::list() to list all the bindings in a context

    The following code retrieves and lists up to 10 bindings from a context.

    {BList, BIterator} = 'CosNaming_NamingContext':list(Sc, 10).
    
    lists:foreach(fun({{Id, Kind},BindingType}) -> case BindingType of 
        nobject ->
            io:format("id: %s, kind: %s, type: object~n", [Id, Kind]);
        _ ->
            io:format("id: %s, kind: %s, type: ncontext~n", [Id, Kind])
        end end,
        Blist).
              
Note

Normally a BindingIteratoris helpful in situations where you have a large number of objects in a list, as the programmer then can traverse it more easily. In Erlang it is not needed, because lists are easily handled in the language itself.

Warning

Remember that the BindingIterator (BIterator in the example) is an object and therefore must be removed otherwise dangling processes will occur. Use CosNaming::BindingIterator::destroy() to remove it.

      'CosNaming_NamingContext':destroy(BIterator).
      

Destroying a Naming Context

The naming contexts are persistent and must be explicitly removed. (they are also removed if all Orber nodes in the domain are stopped).

  • Use CosNaming::NamingContext::destroy() to remove a NamingContext

    'CosNaming_NamingContext':destroy(Sc).
              

7.3  Interoperable Naming Service

The OMG specifies URL schemes, which represent a CORBA object and a CORBA object bound in a NamingContext, for resolving references from other ORB:s. As of today, three schemes are defined:

  • IOR
  • corbaloc
  • corbaname

IOR

A stringified IOR is a valid URL format but difficult for humans to handle through non-electronic means. This URL format does not depend on a specific Name Service and, thus, is robust and insulates the client from the encapsulated transport information and object key used to reference the object.

corbaloc

The notation of this scheme is similar to the more well known URL HTTP, and the full corbaloc BNF is:

<corbaloc>            =  "corbaloc:"<obj_addr_list>["/"<key_string>] 
<obj_addr_list>       = [<obj_addr>","]*<obj_addr> 
<obj_addr>            = <prot_addr> | <future_prot_addr> 
<prot_addr>           = <rir_prot_addr> | <iiop_prot_addr> 
<rir_prot_addr>       = <rir_prot_token>":"  
<rir_prot_token>      = rir  
<future_prot_addr>    = <future_prot_id><future_prot_addr>
<future_prot_id>      = <future_prot_token>":" 
<iiop_prot_addr>      = <iiop_id><iiop_addr>
<iiop_id>             = <iiop_default> | <iiop_prot_token>":"  
<iiop_default>        = ":"  
<iiop_prot_token>     = "iiop"  
<iiop_addr>           = <version><host>[":"<port>] 
<host>                = <DNS-style Host Name> | <ip_v4_address> | "["<ip_v6_address>"]"
<version>             = <major>"."<minor>"@"  | empty_string 
<port>                = number 
<major>               = number 
<minor>               = number
<DNS-style Host Name> = string
<ip_v4_address>       = string
<ip_v6_address>       = string
<key_string>          = for example NameService
      

The corbaloc scheme consists of 3 parts:

  • Protocol - as of today iiop or rir is supported. Using rir means that we will resolve the given Key locally, i.e., the same as using corba:resolve_initial_references("NameService").
  • IIOP address - this address can be divided into Version, Host and Port. If the version or port are left out they will be set to the default values 1.0 and 2809 respectively.
  • KeyString - an object key, e.g., "NameService". If no Key is supplied the default value "NameService" will be used.

A corbaloc can be passed used together with corba:string_to_object("corbaloc::1.0@erlang.org:4001/NameService") or set as the configuration variables orbInitilRef or orbDefaultInitilRef and calling corba:resolve_initial_references("NameService"). For more information see the Orber installation chapter. corbaloc can also be used together with corbaname to gain an easy access to a Name Service.

Currently, the OMG defines a set of reserved keys and the type of object, listed below, they should be associated with. The NameService key may not be changed in Orber. If you want to add one of the reserved keys as an initial service, simply use:

1> Factory = cosNotificationApp:start_global_factory().
2> corba:add_initial_service("NotificationService", Factory).
      

This object can then be easily resolved by any other ORB, supporting the Interoperable Naming Service, by using:

3> NF = corba:string_to_object("corbaloc::1.0@erlang.org:4001/NotificationService").
      
String Name Object Type
RootPOA PortableServer::POA
POACurrent PortableServer::Current
InterfaceRepository CORBA::Repository
NameService CosNaming::NamingContext
TradingService CosTrading::Lookup
SecurityCurrent SecurityLevel1::Current/SecurityLevel2::Current
TransactionCurrent CosTransaction::Current
DynAnyFactory DynamicAny::DynAnyFactory
ORBPolicyManager CORBA::PolicyManager
PolicyCurrent CORBA::PolicyCurrent
NotificationService CosNotifyChannelAdmin::EventChannelFactory
TypedNotificationService CosTypedNotifyChannelAdmin::TypedEventChannelFactory
CodecFactory IOP::CodecFactory
PICurrent PortableInterceptors::Current
Table 7.1:   Currently reserved key strings

corbaname

The corbaname URL scheme is an extension of the corbaloc scheme, and the full corbaname BNF is:

<corbaname>     = "corbaname:"<obj_addr_list>["/"<key_string>]["#"<string_name>] 
<obj_addr_list> = as described above.
<key_string>    = as described above.
      

The string_name, concatenated to the corbaloc string, identifies a binding in a naming context. A name component consists of two parts, i.e., id and kind, which is represented as follows:

String Name Name Sequence Comment
"id1/./id3.kind3" [{"id1",""},{"",""},{"id3","kind3"}] The first component has no kind defined while the second component's both fields are empty.
"id1//id3.kind3" ERROR Not allowed, must insert a '.' between the '//'.
"id1.kind1/." [{"id1","kind1"},{"",""}] The first component's fields are both set while the second component's both fields are empty.
"id1.kind1/id2." ERROR An Id with a trailing '.' is not allowed.
"i\\/d1/i\\.d2" [{"i/d1",""},{"i.d2",""}] Since '.' and '/' are used to separate the components, these tokens must be escaped to be correctly converted.
Table 7.2:   Stringified Name representation

After creating a stringified Name we can either use:

NameStr = "org.erlang",
NS      = corba:resolve_initial_references("NameService"),
Obj     = 'CosNaming_NamingContextExt':resolve_str(NS, NameStr),
      

or concatenate the Name String using:

NameStr = "Swedish/Soccer/Champions",
Address = "corbaname:iiop:1.0@www.aik.se:2000/NameService",
NS      = corba:resolve_initial_references("NameService"),
URLStr  = 'CosNaming_NamingContextExt':to_url(NS, Address, NameStr),
Obj     = corba:string_to_object(URLStr),
      

Using the first alternative, the configuration variables orbInitilRef and orbDefaultInitilRef, will determine which other ORB's or the local Name Service Orber will try to resolve the given string from. The second alternative allows us to override any settings of the configuration variables.

The function to_url/3 will perform any necessary escapes compliant with IETF/RFC 2396. US-ASCII alphanumeric characters and "," | "/" | ":" | "?" | "@" | "&" | "=" | "+" | "$" | ";" | "-" | "_" | "." | "!" | "~" | "*" | "'" | "(" | ")" are not escaped.